
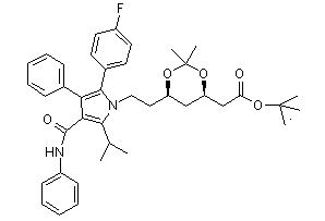
| 中文名称 | (4R-cis)-6-[2-[2-(4-氟苯基)-5-(1-异丙基)-3-苯基-4-[(苯胺)羰基]-1H-吡咯-1-基]乙基]-2,2-二甲基-1,3-二氧戊环-4-乙酸叔丁酯 |
| 英文名称 | (4R-cis)-1,1-dimethylethyl-6-[2-[2-(4-fluorophenyl)-5-(1-isopropyl)-3-phenyl-4-[(phenylamino)carbonyl]-1H-pyrrol-1-yl]ethyl]-2,2-dimethyl-1,3-dioxane-4-acetate |
| 简称 | L-1 |
| CAS No. | 125971-95-1 |
| 结构式 | ![]() |